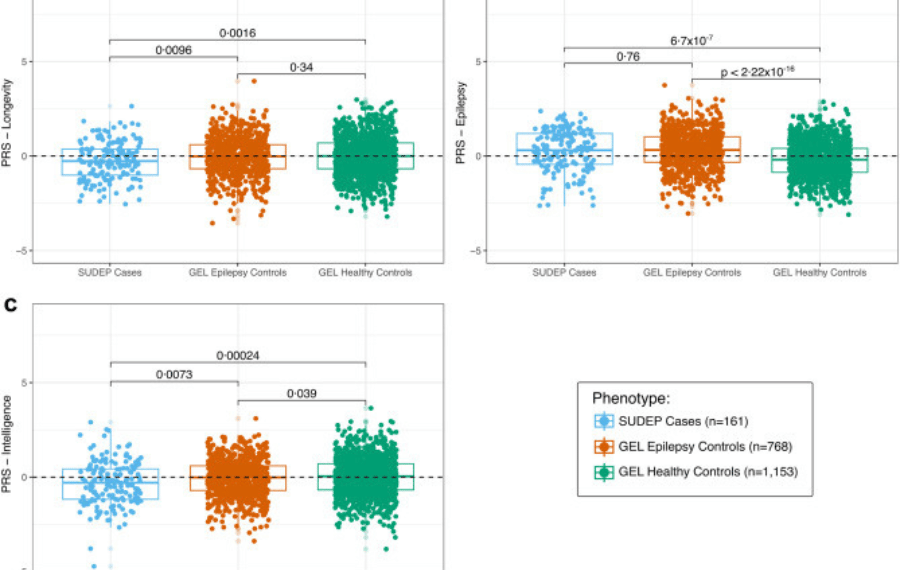
Talk summary: Individuals with epilepsy, particularly those with uncontrolled epilepsy, are at a much greater risk of premature death than those without. In fact, the standardized mortality ratio in those with epilepsy is between 2 and 3. In the UK, the most common cause of epilepsy-related death is due to Sudden Unexpected Death in Epilepsy (SUDEP), which accounts for up to one-fifth of deaths in some series. SUDEP is more common in those with frequent convulsive seizures (particularly nocturnal seizures) and in those with drug-resistant epilepsy. While the causes of SUDEP are unknown, the most commonly suggested underlying mechanisms are cardiac arrhythmias, respiratory depression and “cerebral shutdown.” Because no preventative measures currently exist, an understanding of SUDEP risk factors, potential mechanisms and the effectiveness of preventative measures is essential. To this end, there are a multitude of opportunities available in the field of SUDEP research and these opportunities will be interactively discussed during the presentation.




